低通滤波器
发射信号与回波信号经混频后产生带有距离信息的中频信号,该中频信号可能带有经混频器泄露的高频信号,需对其进行滤除。从电路复杂程度以及成本考虑,这里低通滤波器选择常见的集总参数LC滤波器。
如图5-8所示为在ADS中的电路图。设计指标截设定止频率500kHz,插入损耗小于1dB,回波损耗小于-30dB。

如图 5-9 为设计优化结果,其带内插损小于 1d B,回波损耗基本位于-30d B 以下,满足设计要求。

接收机主要指标分析计算
噪声系数

其常用分贝表示:NFdB 10log F 。噪声系数表示信号通过接收系统后,系统内部的噪声对信噪比造成的信噪比恶化程度。而在接收机中,信号会经过多级模块的处理,每个模块都有其固有噪声,下面给出了系统中多个模块级联的噪声公式:

由上式可知,整个系统的噪声系数主要有前几级模块的固有噪声决定。所以要使系统的噪声系数降低,需对前几级的噪声系数进行优化。如下表5-2所示为计算所得接收机噪声系数与增益。

系统的线性度
在一个有源器件存在的线性系统中,当输入信号较大时,放大的过程就会存在失真现象,产生非线性效应,所以必须限制输入信号的大小,来实现线性放大。衡量一个系统由于非线性引起的变化时,我们用线性度来描述。而线性度通常会用Pn压缩点和三阶交调点来表示。

通常情况下,a,为正,a,为负,所以当输入信号不断增大时,会出现增益压缩的现象。当输出信号功率比线性放大器增加的功率小1dB时,对应的输入信号功率即为输入1dB压缩点IP加,对应的输出信号功率即为输出1dB压缩点OPs,若输入输出均用dB表示时,1dB压缩点如图5-10所示。

通常我们将输入1dB压缩点作为输入信号的最大限制,设计时应当尽量使输入信号的最大值比输入1dB压缩点小3~4dB。
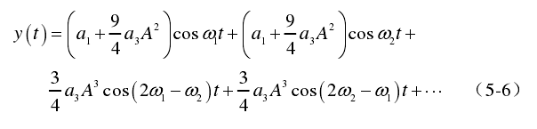
(2)三阶交调点IP3当频率比较相近的两个信号进入到一个非线性系统时,由于非线性效应,系统会生成大量的基波以外的组成频率分量,即互调分量。在这些组合分量中,可能落在放大器频带内的频率分量除了基波以外,还会有组合频率2,-a和2a-a2,比较靠近基波,这些组合频率是由非线性器件的三次方项产生的。非线性系统的输出信号为:

由于三阶分量位于带内,很难用滤波器滤除,会造成临近的信道干扰。这里定义一个用来衡量放大器的互调失真程度指标——三阶互调截点IP,它定义为三阶互调功率达到和基波功率相同的点,对应的输入功率为IIP,对应的输出功率为OIP3。定义如图5-11所示。

三阶互调截点与1dB增益压缩都是由于非线性器件的三次方项产生的,通常情况下,1dB增益压缩点的输入(或输出)电平比三阶互调截点电平低约10dB。
(3)多级级联三阶互调截点
N级级联系统的输出三阶互调截点计算公式如下:

上式中,OIP3,(i=N,N-1…,1)与Gi;分别是第i级模块的输出三阶互调截点与增益,OIP3为总的输出三阶互调截点。由上式可知,系统的IIP3主要由后几级模块决定,所以提高最后几级的增益与输出三阶互调截点就可以提高整个系统总的输出三阶互调截点。
上一篇:雷达物位计调频连续波雷达接收电路的设计(2) 下一篇:【公告】上海佑富实业有限公司改名佑富(上海)智能传感技术有限公司











